首页
关于我们
产品展示
企业优势
联系我们
首页
关于我们
产品展示
企业优势
联系我们
产品展示
PRODUCT DISPLAY
精细化工产品
精细化工产品
N-(2-甲基-5-硝基苯基)-4-(3-吡啶基)-2-嘧啶胺
3-乙酰胺基-2-羟基-4-苯基丁酸
3,4-二氢-1-[(4-甲氧基苯基)甲基]-1H-1,4-苯并二氮杂卓-2,5-二酮
3-苯磺酰氨基苯甲酸甲酯
对氨基苯甲酸
9芴酮
间氨基苯磺酸钠
3-甲基-4-膦酰丁烯酸三乙酯
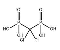
氯屈磷酸二钠(四水)
1
2
3
4
5
6
7
8
9